rébus - urči fí
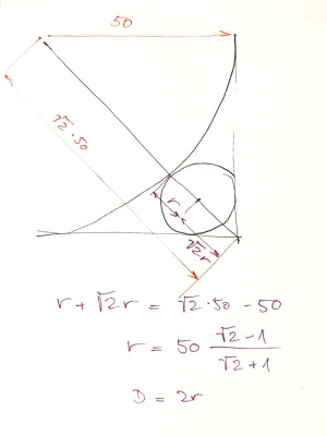
Když člověk zná pana Pythagora, pak to jde spočítat z hlavy. Vycházíme z toho, že úhlopříčka každého čtverce ze středu kruhu k základně je odmocnina ze dvou krát poloměr kružnice. Rozdíl úhlopříček je součet poloměrů. Z toho plyne, že poloměry kružnic tvoří geometrickou řadu s kvocientem (sqrt(2) - 1)/(sqrt(2) +1), takže když tímto pitomým číslem násobíš těch 50, tak vyjde těch 17 a něco. Platí i pro další a další kružnice.
za mých let by to dal asi skoro každý na střední škole technického směru, docela by mě zajímalo, kolik novodobých studentů SŠ, VŠ by to dalo bez AI a mobilů..
věčný rýpal,který musí mít poslední slovo, odpůrce low-cost zařízení končících v naprosté většině případů v hromadě šrotu
uživatelé hýbátek, kteří mají z mých příspěvků celoživotní trauma nechť si mé příspěvky VYPNOU
uživatelé hýbátek, kteří mají z mých příspěvků celoživotní trauma nechť si mé příspěvky VYPNOU
- Krutor
- Sponzor fora
- Příspěvky: 1085
- Registrován: 2. 12. 2008, 8:58
- Bydliště: Moravské Bránice
- Kontaktovat uživatele:
Ano, postupoval jsem úplně stejně, a nakonec jsem se to snažil upravit do co nejjednodušší formy, aniž bych se dopustil explicitního vyčíslení odmocnin, a taky jsem chtěl, aby tam stále figurovala původní hodnota průměru 100.
Naposledy upravil(a) Krutor dne 8. 7. 2025, 7:32, celkem upraveno 1 x.
Petr Spáčil
- Krutor
- Sponzor fora
- Příspěvky: 1085
- Registrován: 2. 12. 2008, 8:58
- Bydliště: Moravské Bránice
- Kontaktovat uživatele:
Myslím, že není pochyb o tom, že V PRŮMĚRU analytická schopnost studentů klesá, stejně tak jako náročnost středních i vysokých škol, ale ti mladí to dokážou dohnat používáním technologií, komunikativností, kreativitou a sebevědomím, takže výsledků budou asi dosahovat stejných, ne-li lepších, než my, stará škola
Petr Spáčil
