Výroba excentra podkladaním pakne-prosím objasniť výpočet matematickému idiotovi

Technologicke postupy a měřidla v dílně
Odpovědět
zverodoktor
Příspěvky: 3659
Registrován: 3. 6. 2007, 9:49
Bydliště: Bratislava

11. 11. 2023, 5:41

Ahojte, snažím sa už asi pol hodinu vyrátať o koľko podložiť pakňu v 3 čeľusťovej univerzále. Ale evidentne dačo počítam zle:
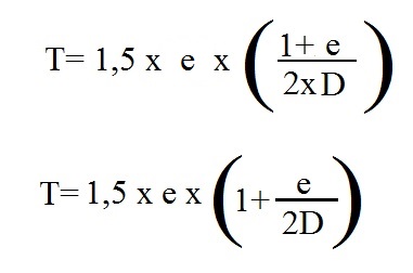
T=1,5e.(1+e/2D)
T je velikost hledané podložky(podkládá se jen jedna pakna), e je velikost excentru, ta tečka je násobení, a v té závorce je e v čitateli a 2D ve jmenovateli. D je průměr, za který to chytáme ve sklíčidle.

U mňa :
e= 2.5 mm (teda ak to je rozdiel najväčšej a najmenšej hodnoty čo nameriam, keď vzor meriam hodinkami.
D=10mm

Ďakujem za trpezlivosť, Andrej.
SU32, MN80, FN25, ISEL4433, Jakobsen SJ25, N1, VS16, Anycubic Kossel
prochaska
Sponzor fora
Příspěvky: 8450
Registrován: 16. 7. 2006, 12:33
Bydliště: Praha Bohnice + Roudnice nad Labem
Kontaktovat uživatele:

11. 11. 2023, 7:03

Pro jednoduchý případ, kdy se pakny dotýkají kulatiny ploškou, je tloušťka podložky 1.5 násobek excentricity (přesně). Průměr tam vůbec nefiguruje.
Pokud bude excentricita velká a nepodložené pakny se tudíž opřou hranou (asi častější případ), tak to bohužel neumím.
Aleš Procháska
nellospeed
Příspěvky: 218
Registrován: 14. 3. 2018, 4:52

11. 11. 2023, 7:11

tak můžeš si tu exentricitu ověřit hodinkama až to podložíš
zverodoktor
Příspěvky: 3659
Registrován: 3. 6. 2007, 9:49
Bydliště: Bratislava

11. 11. 2023, 8:16

Ďakujem za postrehy. Ten vzorček čo som sem dal, je tu z fóra a niekoľko užívateľov píše, že to funguje bezvadne. Takže chyba nieje vo vzorci, ale v tom nemehle medzi stoličkou a papierom :lol: .

Teraz ma napadlo. Mám to počítať ako v prvom vzorci, či druhom?
vzorce.jpg
vzorce.jpg (17.95 KiB) Zobrazeno 3876 x
SU32, MN80, FN25, ISEL4433, Jakobsen SJ25, N1, VS16, Anycubic Kossel
Uživatelský avatar
Thomeeque
Příspěvky: 9521
Registrován: 30. 1. 2012, 10:20
Bydliště: Mimo ČR

11. 11. 2023, 8:59

prochaska píše: 11. 11. 2023, 7:03 Pro jednoduchý případ, kdy se pakny dotýkají kulatiny ploškou, je tloušťka podložky 1.5 násobek excentricity (přesně). Průměr tam vůbec nefiguruje.
Má pravdu, předseda! :)

mimooborová naplavenina • kolowratský zázrak™ • NPS • GCU • HirthCalc • ncDP.ino
zverodoktor
Příspěvky: 3659
Registrován: 3. 6. 2007, 9:49
Bydliště: Bratislava

11. 11. 2023, 11:21

Jak prosté milý Whatsone!
SU32, MN80, FN25, ISEL4433, Jakobsen SJ25, N1, VS16, Anycubic Kossel
t256
Příspěvky: 3003
Registrován: 19. 1. 2012, 4:49

12. 11. 2023, 7:26

Pokud nemas moznost to zmerit, nakresli si to v nejakem CADu. Overis si tak zes neudelal nejakou chybu ve vypoctu (pripadne ho ani nemusis provadet) a budes mit 100% jistotu ze je to spravne za vsech okolnosti (viz napr. zminene hrany paken)
Odpovědět

Zpět na „Technologie a měření“