geometrie

kdyz nebudes vedet kam to dat tak to napis sem, admin to za tebe umisti nebo vytvori novou sekci
Odpovědět
fupe
Příspěvky: 655
Registrován: 27. 5. 2008, 9:10
Bydliště: Praha

12. 5. 2021, 8:03

Ahoj,
Asi mi došly školy. Snažím se vyřešit takovou geometrickou hádanku a nevim jak na to.
Tak doufám, když je tu hromada chytrých hlav, že se to třeba někomu povede.
Ať už třeba pomocí geometrické konstrukce pomocí pravitka a kružítka, nebo matematicky pomocí sinů cosínu pythagorasů a podobně.
zadani.jpg
jsou dva obecne uhly ktere znám. na obrazku konkretni pro predstavu. k tomu usecka o zname velikosti s bodem uprostřed.


potřebuju tuto usečku umístit do obrazku tak, aby koncové body byly na vnejsich ruznobeznych primkach a stredovy na zbyvajici vnitřní primce.
řešení to má pouze jediné.

tady je vysledek. solidworks si s tim poradil hravě, ale ja nevim, jak to spočítat.
Zkoušel sem sínovou větu, podobnosti trojúhelníku atd tad, ale buď sem blbej nebo nevim.
potřeboval bych spočítat třeba souradnice středového bodu.
Jestli to někdo dáte, klobouk dolu.
reseni.jpg

Martin
Uživatelský avatar
bobik
Příspěvky: 4556
Registrován: 11. 12. 2007, 7:48
Bydliště: Okres Klatovy

12. 5. 2021, 9:41

Když si to prokreslíš, zjistíš že výšky pravouhlých trojuhelníku nad a pod jsou stejné deme jí proměnou A.
Dejme tomu, že X je ta souřadnice co chceš vypočítat. V tomto případě hodnota 59. 414.
10°bude ALFA
20°bude BETA.
Y bude 20,634.
Pak tgALFA=A/(X+Y) a tgBETA=A/(X-Y).
Z toho dostaneš rovnici tgALFA*X+tgALFA*Y=tgBETA*X-tgBETA*Y.
R*R=A*A+Y*Y kde R je polovina délky úsečky, kterou znáš. No a dál už se mi to počítat nechce. :D
Přílohy
troj.JPG
Naposledy upravil(a) bobik dne 12. 5. 2021, 9:47, celkem upraveno 1 x.
Uživatelský avatar
Thomeeque
Příspěvky: 9521
Registrován: 30. 1. 2012, 10:20
Bydliště: Mimo ČR

12. 5. 2021, 10:28

bobik píše: 12. 5. 2021, 9:41 Když si to prokreslíš, zjistíš že výšky pravouhlých trojuhelníku nad a pod jsou stejné..
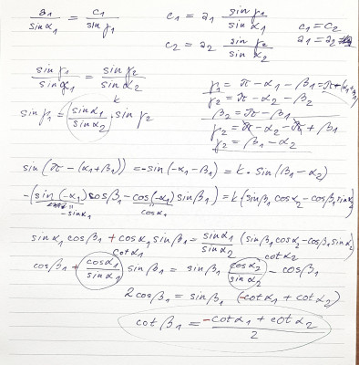
Haha, tak to je vtipné! Já se dost složitě (sinova věta, součtové vzorce) dopracoval k hodnotě úhlu Beta (zatím jsem neověřil*, tvoje odpověď mě poněkud demotivovala :D), odtud by to mělo už být také easy..

Image2827538952109896309.jpg
Image7872815974573691243.jpg

T.

*EDIT: Moc to nevychází :mrgreen:

EDIT2: Opraveno.
Naposledy upravil(a) Thomeeque dne 12. 5. 2021, 11:37, celkem upraveno 2 x.
mimooborová naplavenina • kolowratský zázrak™ • NPS • GCU • HirthCalc • ncDP.ino
fupe
Příspěvky: 655
Registrován: 27. 5. 2008, 9:10
Bydliště: Praha

12. 5. 2021, 10:45

bobik píše: 12. 5. 2021, 9:41 Když si to prokreslíš, zjistíš že výšky pravouhlých trojuhelníku nad a pod jsou stejné deme jí proměnou A.
Dejme tomu, že X je ta souřadnice co chceš vypočítat. V tomto případě hodnota 59. 414.
10°bude ALFA
20°bude BETA.
Y bude 20,634.
Pak tgALFA=A/(X+Y) a tgBETA=A/(X-Y).
Z toho dostaneš rovnici tgALFA*X+tgBETA*Y=tgBETA*X-tgBETA*Y.
R*R=A*A+Y*Y kde R je polovina délky úsečky, kterou znáš. No a dál už se mi to počítat nechce. :D
Jak prosté milý Watsone.
Díky moc. už to vidim. Já se furt motal dokola. tři rovnice o třech neznámých a v nich sin arcsiny a ja nevim co jeste a ono se na to stačí podívat z jíneho uhly a je to.

ještě hednou diky. Martin
Uživatelský avatar
bobik
Příspěvky: 4556
Registrován: 11. 12. 2007, 7:48
Bydliště: Okres Klatovy

12. 5. 2021, 10:51

No jo, díky CADům nějakou gonieometrii už člověk neuplatní. Když jsem kreslil na prkně, tak kalkulačka a tg to byl základ jak dospět k přesné kótě.
fupe
Příspěvky: 655
Registrován: 27. 5. 2008, 9:10
Bydliště: Praha

12. 5. 2021, 10:58

bobik píše: 12. 5. 2021, 10:51 No jo, díky CADům nějakou gonieometrii už člověk neuplatní. Když jsem kreslil na prkně, tak kalkulačka a tg to byl základ jak dospět k přesné kótě.
Taky jsem z generace (1973), kdy se CAD na škole moc nepoužíval. Ty PP06 se zeleno zeleným monitorem to moc neuměly. :D Pamatuju jak jsem měl přes půlku pokoje A0 prkno a vesele jsem s kalkulačkou a tabulkama rýsoval převodovky.
Dneska jsem samostudiem přešel k solidworksu, ale je pravda, že papír tuška je většinou rychlejší. CAD CAM spíš jenom na tvorbu modelů pro 3dtisk nebo obrábění.
M
fupe
Příspěvky: 655
Registrován: 27. 5. 2008, 9:10
Bydliště: Praha

12. 5. 2021, 10:59

Thomeeque píše: 12. 5. 2021, 10:28
bobik píše: 12. 5. 2021, 9:41 Když si to prokreslíš, zjistíš že výšky pravouhlých trojuhelníku nad a pod jsou stejné..
Haha, tak to je vtipné! Já se dost složitě (sinova věta, součtové vzorce) dopracoval k hodnotě úhlu Beta (zatím jsem neověřil*, tvoje odpověď mě poněkud demotivovala :D), odtud by to mělo už být také easy..


Image2827538952109896309.jpgImage6283701516714415442.jpg


T.

*EDIT: Moc to nevychází :mrgreen:
Tak přesně takhle jsem se v tom nějak motal. a čím to bylo delší a složitější tím víc sem si říkal, že to přece musí mít nějaký elegantní řešení.
A ono má.
M
Uživatelský avatar
Thomeeque
Příspěvky: 9521
Registrován: 30. 1. 2012, 10:20
Bydliště: Mimo ČR

12. 5. 2021, 11:28

Jasný, já už i našel chybu, uteklo mi jedno znaménko, ale stejně, Bobik FTW :)
mimooborová naplavenina • kolowratský zázrak™ • NPS • GCU • HirthCalc • ncDP.ino
Uživatelský avatar
bobik
Příspěvky: 4556
Registrován: 11. 12. 2007, 7:48
Bydliště: Okres Klatovy

12. 5. 2021, 11:48

Já už to z hlavy taky nedám. Tohle spěje ke kvadratické rovnici a já už všechny ty vzorečky zapoměl. Ale vím, že existují a kde je najít. :D Ale už jsem na takovou duševní činost línej.
Odpovědět

Zpět na „kdyz nebudes vedet kam“